連載
ラグランジュの方程式(その2)〜ラグランジュの方程式の導出手順と適用例〜:1Dモデリングの勘所(40)(2/5 ページ)
「1Dモデリング」に関する連載。連載第40回では「ラグランジュの方程式(その2)」と題し、ラグランジュの方程式の導出手順とその結果を具体事例に適用して効果を確認する。さらに、ラグランジュの方程式を粘性減衰がある場合に拡張し、実際の問題に適用してみる。
一方、保存系において、系の位置エネルギーが力のポテンシャル
の場合、力の成分は、
で与えられる。これを一般力の式に代入すると、
となる。ポテンシャルから導かれる式20の一般力を分離し、その他の成分をQorと置くと、
となり、式18は、
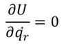
となる。Uは質点の位置により決まり、一般座標qrのみの関数で、一般速度
は含んでいないため、
となる。ここで、
と置くと式23は、
となる。保存系の場合には、Qor=0なので、
となる。Lをラグランジュ関数またはラグランジュアンと呼ぶ。
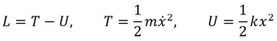
以上を、図1に示す簡単な1自由度系で試してみる。ここで、ラグランジュの方程式は、
となる。このとき、
となり、これを上式に代入して偏微分すると、
を得る。
Copyright © ITmedia, Inc. All Rights Reserved.
